2024年10月23日,据CDE官网显示,上海博志研新药物研究有限公司申报的比拉斯汀口服溶液临床试验申请已获得受理(受理号:CYHL2400209)。
图1 CDE官网受理品种目录截图
核心优势
抑制组胺诱发的风团和红晕:在一项随机、双盲、单剂量、四交叉的临床研究中,21名健康男性志愿者接受了组胺(100mg/ml)点刺试验。研究评估了比拉斯汀两种剂量(20mg和50mg)在抑制皮肤风团和红晕方面的疗效,并将其与安慰剂和10mg西替利嗪进行对比。结果显示,两种剂量的比拉斯汀对风团和红晕的抑制率分别相当或优于西替利嗪(抑制率>50%,12小时)。给药后1.5小时,20mg比拉斯汀及10mg西替利嗪在抑制风团和红晕方面均显著优于安慰剂,而比拉斯汀的疗效更为显著(P<0.02)。 表1 第28天的TSS3相较基线的变化和实际值
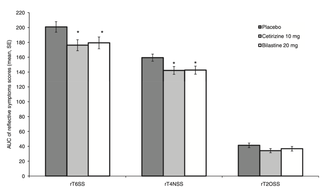
变应性鼻炎的治疗:此外,一项多中心、随机、对照、双盲、平行组研究对来自阿根廷、欧洲和南非的有症状常年性变应性鼻炎患者(n=650)进行了疗效评估。患者分别接受比拉斯汀20mg、西替利嗪10mg或安慰剂治疗。结果表明,在4周的治疗期内,比拉斯汀相比于安慰剂显著缩短了患者达到最大缓解的时间,其疗效与西替利嗪相当。尤其在改善鼻部和眼部症状评分方面,比拉斯汀显著优于安慰剂,且疗效与西替利嗪相似。
图2 患者症状得到最大缓解所需的时间
图3 患者鼻部/眼部症状评分改善的对比
安全性方面,比拉斯汀不具有抗胆碱作用,显示出良好的耐受性。另外,比拉斯汀不经肝脏代谢、以原形排泄,因而可以看作是临床的安心之选。 对中枢神经系统的影响:一项IV期、单中心、开放标签的前瞻性试验对18例过敏性鼻炎和/或慢性荨麻疹患者进行了为期7天的比拉斯汀20mg治疗,分析其在F1高速模拟驾驶测试中的心理和生理变化。第8天和第15天的对比结果显示,比拉斯汀对驾驶时的速度偏差(P=0.0639)和按键反应时间(P=0.259)均无显著性差异,表明该药物不影响注意力和反应能力。 对心血管系统的影响:一项依据ICH E14指南要求开展的研究结果表明,无论是治疗剂量(20 mg)还是超治疗剂量(100 mg),比拉斯汀均不会对T波形态或QT间期产生任何影响。 不良事件发生率与安慰剂组相近:国外临床试验汇总数据显示,接受20mg比拉斯汀治疗过敏性鼻结膜炎或慢性特发性荨麻疹的成人和青少年患者的不良事件发生率与安慰剂组相近(12.7% vs 12.8%)。 不仅如此,比拉斯汀口服溶液能够准确调整给药剂量,为患者提供了便利的治疗选择,因此特别适用于过敏性鼻炎和荨麻疹儿童患者,显著提高了服药的依从性。 指南推荐 基于丰富的循证医学证据,比拉斯汀已被多个指南推荐用于临床实践:







